找回密码
 注册

微信登录

微信扫一扫,快速登录

手机动态码快速登录

手机号快速注册登录

搜索
楼主: kko418

温都金服案究竟是哪个单位犯罪

[复制链接]

0

主题

17

回帖

9

积分

嫩笋

积分
9
发表于 2023-2-10 10:53 来自手机 | 显示全部楼层
温报集团利用党报,以假股东,假合同騙人,坑害投资者,报业一定要还我钱来自: Android客户端

0

主题

71

回帖

52

积分

嫩笋

积分
52
发表于 2023-2-10 17:28 | 显示全部楼层
报业中的败类,坑骗6000多百姓血汗钱,请方立明自证清白,群众一切损失与你们没有关联,你无愧于党。我就不明白所有的项目都象商量好的,一下子全雷了,这背后黑幕重重,报业吃了多少回扣,把百姓的钱弄哪去了。百姓很多都老头老太太,而回款遥遥无期,五年了,还可以等多久。

3

主题

481

回帖

242

积分

老蟹

积分
242
发表于 2023-2-11 12:35 来自手机
这世界上有两样东西不可辜负:一是春光,二是老百姓的热望。来自: iPhone客户端

168

主题

465

回帖

317

积分

老蟹

积分
317
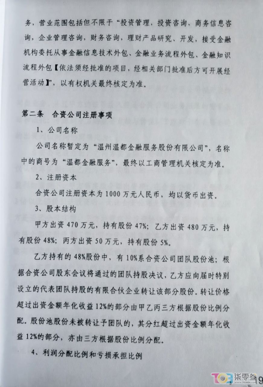
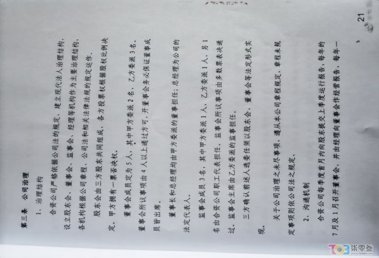
 楼主| 发表于 2023-2-13 09:44 来自手机
请温州市宣传部解释,《请示》谁签字造假?《合资协议》内容中五报一网一刊指谁?回答清楚这些问题,再树警示牌。来自: Android客户端

168

主题

465

回帖

317

积分

老蟹

积分
317
 楼主| 发表于 2023-2-13 10:34 来自手机

20230213103454front2_0_1814513_Fm7Ii2cFrDIsohurFre72xYPDLjM.jpg
20230213103453front2_0_1814513_Fq0kBL0Aw7Mp9qdavWdG6et4XjGK.jpg
20230213103453front2_0_1814513_FvD8FWdTkO_tbzDBYCcT_W6K6Rwc.jpg
20230213103453front2_0_1814513_Fi7uJCPJAznrl4ONz6b02OID4JQT.jpg
20230213103454front2_0_1814513_Fl-mw2zELZGyFbRAB67AUvCWrYAu.jpg
20230213103454front2_0_1814513_Fjw9ovM_h4fm3lfsL9aRqkbm2jvA.jpg
20230213103454front2_0_1814513_FhAuKbQzBoizNOsqFp5EGlg5WlCj.jpg
来自: Android客户端

168

主题

465

回帖

317

积分

老蟹

积分
317
 楼主| 发表于 2023-2-13 10:36 来自手机
温报集团单位犯罪的证明
20230213103538front2_0_1814513_FnpelfZEzjhujauG2aEbuyURaK56.jpg
20230213103537front2_0_1814513_Fv3zhXnMoSGaBUD_kd1aKFnkj6cE.jpg
20230213103538front2_0_1814513_FpmHIR4rGx7irVBzzM-BQ-R1z3JD.jpg
20230213103537front2_0_1814513_FrjdVQkWFEr5c8iowK2aPRntqpq6.jpg
20230213103537front2_0_1814513_Fq-V51mVEoNUYo5xQRJg26ESFqzh.jpg
20230213103538front2_0_1814513_FmG8J7nVs4AfNO8NQs0JX5ArxzfV.jpg
20230213103537front2_0_1814513_FkVBKPv9CkAs9Dw2UgnpVzLHuUP9.jpg
20230213103538front2_0_1814513_FjrrFMZdsZWY4Qj-g_RWK-BgbxOt.jpg
20230213103537front2_0_1814513_FgwK-_KJ0A3eyGxm2E4s4i7vhF3h.jpg
来自: Android客户端

168

主题

465

回帖

317

积分

老蟹

积分
317
 楼主| 发表于 2023-2-13 13:23 来自手机
温报集团若刑案在身是不可能与广电合并的。
20230213132228front2_0_1814513_Fv3zhXnMoSGaBUD_kd1aKFnkj6cE.jpg
来自: Android客户端

3

主题

761

回帖

382

积分

老蟹

积分
382
发表于 2023-2-15 16:38 来自手机
出借人认为若要经得起历史检验,该案必须追究官员们的渎职犯罪,没有渎职犯罪就没有温都金服案的犯罪,方立明被“双规”,公园路愤怒的读报人自然会暂停来自: iPhone客户端

0

主题

75

回帖

39

积分

嫩笋

积分
39
发表于 2023-2-15 17:10 来自手机 | 显示全部楼层
这几天温州报业门前出现新情况许多保安(听说花钱雇佣的每小时一百元)和穿红马甲的网络员用高音喇叭播放企图掩盖老百姓呼吁还钱诈骗的的心声,围堵得了吗?只能说制造问题,何不拿出诚意解决老百姓的问题呢
来自: Android客户端

105

主题

1278

回帖

1607

积分

老蟹

积分
1607
发表于 2023-2-15 18:50


关注此事进展,因他关温州政府公信力!

0

主题

4

回帖

2

积分

嫩笋

积分
2
发表于 2023-2-21 06:16 来自手机 | 显示全部楼层
公园路温州日报大门口,在周一,周三上午是温州城市的一道风景线。市委领导看到吗?来自: Android客户端

0

主题

75

回帖

39

积分

嫩笋

积分
39
发表于 2023-2-21 09:47 来自手机 | 显示全部楼层
五年了,再深的水也该水落石出!就看为谁疯狂来自: Android客户端

3

主题

761

回帖

382

积分

老蟹

积分
382
发表于 2023-4-24 14:24 来自手机
公园路温州日报大门口每周一,周三上午是温州城市的一道风景线。市委领导看到吗?现在是黑瓦摊位摆起来是长期的吗来自: iPhone客户端

您需要登录后才可以回帖 登录 | 注册 微信登录 手机动态码快速登录

本版积分规则

不良信息举报(0577)88703804 举报QQ 139703804|违法和不良信息举报中心|自律管理承诺书|手机版|小黑屋|柒零叁网 ( 浙ICP备08111123号-1 )

GMT+8, 2025-11-21 19:25 , Processed in 0.252245 second(s), 22 queries .

Powered by Discuz! X3.5

© 2001-2025 Discuz! Team.

快速回复 返回顶部 返回列表